刘赫 ‖ 吃竹子竟然影响大熊猫的生育

植物雌激素是什么?植物雌激素是一类雌激素样物质,包括异黄酮类、芪类、木脂素类和香豆素类等几大类。这些化合物能与雌激素受体结合在目标器官中模拟雌激素的作用,对人和动物产生雌激素样的影响。目前在上百种植物中已发现有植物雌激素,其中异黄酮植物雌激素的种类较多,包括大豆黄酮、 芒柄花素、 染料木素及美皂异黄酮等。



中国动物园的圈养大熊猫通常饲喂不同种类的主食竹,在三个主要的饲养繁殖种群中,饲喂的竹种也不尽相同。陕西饲养的大熊猫以刚竹属的竹子为主,四川则以苦竹和白夹竹为主,而北京的圈养大熊猫则以早园竹为食。根据谱系统计,近20年来,四川和陕西的大熊猫繁殖情况要好于北京。2002至2011年,北京只有2只大熊猫出生,自2011年后,北京的雌性大熊猫被送到四川进行繁殖,在2012至2018年间,已有10只大熊猫出生。鉴于三地的饲养管理方式基本相似,我们怀疑是否主食竹的差异影响了大熊猫的繁殖率。



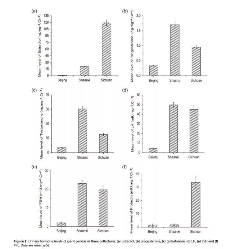
植物雌激素的组成与植物种类有关,也随环境因素而变化。在同种竹子中,总黄酮的含量随地理分布而有所差异。本研究中三个地区的总黄酮含量各不相同,北京早园竹的总黄酮含量低于四川的苦竹和陕西的金镶玉竹,与之前李洪玉等(2004)测定的8种竹子中,早园竹的总黄酮含量最低的结果一致。我们发现除了催产素外,北京大熊猫其他5种尿激素的水平均低于陕西和四川。四川大熊猫的6种繁殖激素均显著高于北京,特别是四川和陕西大熊猫的雌二醇水平均高于北京。研究表明:大熊猫在发情前期的雌二醇水平很低,在发情期间突然升高,是判断交配的主要指标,因此激素水平是大熊猫繁殖成果的关键因素。本研究中北京的大熊猫以植物雌激素含量很低的早园竹为主,相应测的激素水平也较低。同时,根据谢钟的谱系统计,北京的大熊猫在过去20年中呈现数量下降趋势,出生率也较低。自从2011年与四川的中国大熊猫保护研究中心和成都大熊猫繁育研究基地开展合作以来,北京大熊猫在繁殖前被提前送到四川饲养,取食苦竹和白夹竹等,有些繁殖雌性大熊猫甚至几年都不回到北京,这6年中,北京的大熊猫已在四川生产了10只幼仔,因此,近几年的出生率也逐渐回升。

本研究发现,六种繁殖激素均与主食竹中的植物雌激素呈现统计正相关。胡锦矗和魏辅文的研究都观察到野外的大熊猫在一年中要选择多种竹子,而且也会根据季节选择竹子的不同部位,其中一个原因可能就是不同竹子在不同季节植物雌激素的含量有所不同,通常在春季多种竹子中的植物雌激素都很高。Wynne-Edwards (2001) 研究表明,相对于家畜中的草食哺乳动物自身的内源性雌激素而言,植物雌激素的含量是很低的。尽管竹子中的总黄酮是痕量成分,但每日的累积作用也不可小觑。因此,主食竹中的植物雌激素对于大熊猫而言就是一个主要的因素,总黄酮的含量可能与大熊猫的繁殖紧密相关。



近年来,关于植物雌激素和潜在功能的科学研究已受到更多关注,但在陆生哺乳动物中,植物雌激素在繁殖方面影响的研究还不多。本研究阐明了主食竹总黄酮可能有类雌激素样作用,与大熊猫的繁殖激素呈现正相关。对于大熊猫这样的草食性食肉动物而言,可能仍旧保持着对植物雌激素的敏感性适应。曾有研究报道了高水平的植物雌激素可能会对繁殖产生负面作用,导致绵羊、牛、马和鼠类繁殖失败。另外,在红疣猴的研究中发现,植物雌激素叶子与粪便中雌二醇的水平正相关,红疣猴取食含有植物雌激素的叶子后,粪便中雌二醇的水平升高。本研究也发现,竹中总黄酮与大熊猫尿液中六种繁殖激素正相关,影响了雌性大熊猫的繁殖。尿雌二醇水平与竹中总黄酮显著相关,竹中的植物雌激素提升了大熊猫繁殖激素水平,而且其他几种繁殖激素也有同样的结果。故而,对于圈养雌性大熊猫,竹中总黄酮在调节繁殖激素方面可能有明显作用。

综上所述,北京大熊猫的繁殖激素水平比四川和陕西的大熊猫低,而北京主食竹中的总黄酮含量是最低的,主食竹中总黄酮与三地大熊猫繁殖激素之间呈现正相关,不同竹种的总黄酮影响圈养大熊猫的繁殖激素。这些发现,补充了有关主食竹中植物雌激素的相关研究,重点强调了总黄酮对提高雌二醇和孕酮水平的潜在作用,为圈养大熊猫的饲养管理提供了理论依据。基于此,动物园的大熊猫可能需要改善单一主食竹种的问题,并选择适宜大熊猫繁殖的主食竹种长期饲喂。

(作者简介:刘赫,女,北京动物园饲养队营养组主管,主要负责动物营养管理)
(本文原载《北京动物园》2019年第2期,四川省林业和草原局提供)
作者:刘赫(北京动物园饲养队营养组主管)

用户登录
还没有账号?
立即注册